Si infatti anche a me viene 1/rad5=rad(1/5), solo che ho anche razionalizzato moltiplicando e dividendo per rad5. Il risultato e lo stesso, solo che di solito si preferisce eliminare le radici al denominatore appunto razionalizzando…
no perchè -1 è l’esponente da dare a 5/3 per ottenere x (da definizione). Poi, elevare una frazione alla -1 significa scambiare numeratore e denominatore (ovvero fare l’inverso), non cambiare segno.
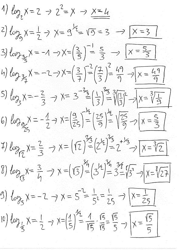
Ciao Albert! Nell’esercizio 7 perché 1/2 + 2/3 fa 1/3?
Perchè non è 1/2 + 2/3 ma 1/2 * 2/3
La risoluzione dell’esercizio 10 non dovrebbe essere
X=radice quadrata di 1/5?
Si infatti anche a me viene 1/rad5=rad(1/5), solo che ho anche razionalizzato moltiplicando e dividendo per rad5.
Il risultato e lo stesso, solo che di solito si preferisce eliminare le radici al denominatore appunto razionalizzando…
no perchè -1 è l’esponente da dare a 5/3 per ottenere x (da definizione). Poi, elevare una frazione alla -1 significa scambiare numeratore e denominatore (ovvero fare l’inverso), non cambiare segno.
nell’esercizio 3 non dovrebbe essere -3/5 ??
no, è proprio 5/3 perchè elevcare a -1 significa capovolgere la frazione